Pep13436 | pTH (44-68) (human) | 64421-69-8
- 詳細描述
- 資料下載
Pep13436 | pTH (44-68) (human) | 64421-69-8
|
貨號 |
Pep13436 |
|
名稱 |
pTH (44-68) (human) |
|
其他名稱 |
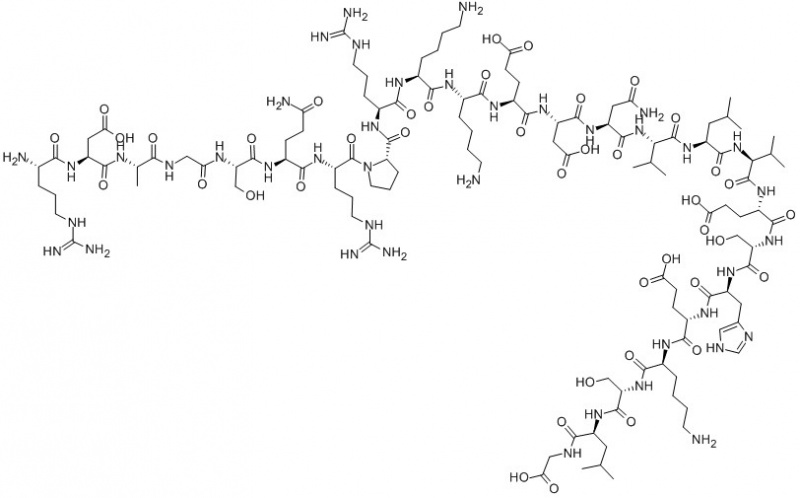
LYS-LYS-GLU-ASP-ASN-VAL-LEU-VAL-GLU-SER-HIS-GLU-LYS-SER-LEU-GLY-GLU-ALA-ASP-LYS-ALA-ASP-VAL-ASN-VAL-LEU-THR-LYS-ALA-LYS-SER-GLN: KKEDNVLVESHEKSLGEADKADVNVLTKAKSQLYS-GLU-ASP-ASN-VAL-LEU-VAL-GLU-SER-HIS-GLU-LYS-SER-LEU-GLY-OH ARG-ASP-ALA-GLY-SER-GLN-ARG-PRO-ARG-LYS-LYS-GLU-ASP-ASN-VAL-LEU-VAL-GLU-SER-HIS-GLU-LYS-SER-LEU-GLY PARATHYROID HORMONE (44-68) (HUMAN) PARATHYROID HORMONE HUMAN: FRAGMENT 44-68 PTH (44-68) (HUMAN) parathyroidhormone(44-68 parathyroid hormone fragment human*44-68 PARATHYROID HORMONE FRAGMENT 44-68 FROM HUMAN SOURCE fromhumansource Parathyroidhormonefragment44-68 parathyroid hormone fragment 44-68 human H-Arg-Asp-Ala-Gly-Ser-Gln-Arg-Pro-Arg-Lys-Lys-Glu-Asp-Asn-Val-Leu-Val-Glu-Ser-His-Glu-Lys-Ser-Leu-Gly-OH
|
|
CAS No. |
64421-69-8 |
|
單字母序列 |
RDAGSQRPRKKEDNVLVESHEKSLG |
|
三字母序列 |
Arg-Asp-Ala-Gly-Ser-Gln-Arg-Pro-Arg-Lys-Lys-Glu-Asp-Asn-Val-Leu-Val-Glu-Ser-His-Glu-Lys-Ser-Leu-Gly | H-Arg-Asp-Ala-Gly-Ser-Gln-Arg-Pro-Arg-Lys-Lys-Glu-Asp-Asn-Val-Leu-Val-Glu-Ser-His-Glu-Lys-Ser-Leu-Gly-OH |





南京肽業(yè)生物科技有限公司
地址:
Email: info@njpeptide.com
總機:025-58361106-801
