Pep04133 | MAGE-1 Antigen (161-169) (human) | 144449-86-5
- 詳細(xì)描述
- 資料下載
Pep04133 | MAGE-1 Antigen (161-169) (human) | 144449-86-5
|
貨號(hào) |
Pep04133 |
|
名稱 |
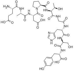
MAGE-1 Antigen (161-169) (human) |
|
中文其他名稱 |
|
|
英文其他名稱 |
GLU-ALA-ASP-PRO-THR-GLY-HIS-SER-TYR;H-GLU-ALA-ASP-PRO-THR-GLY-HIS-SER-TYR-OH;H2N-EADPTGHSY-OH;MELANOMA-ASSOCIATED ANTIGEN 1 (161-169) (HUMAN);MAGE 1 ANTIGEN (161-169) [HOMO SAPIENS];MAGE-1 ANTIGEN (161-169) (HUMAN);MAGE-1 antigen (161-169), human (3);Mage-1 (161-169), human |
|
CAS No. |
144449-86-5 |
|
單字母序列 |
EADPTGHSY |
|
三字母序列 |
Glu-Ala-Asp-Pro-Thr-Gly-His-Ser-Tyr | H-Glu-Ala-Asp-Pro-Thr-Gly-His-Ser-Tyr-OH |





南京肽業(yè)生物科技有限公司
地址:
Email: info@njpeptide.com
總機(jī):025-58361106-801
