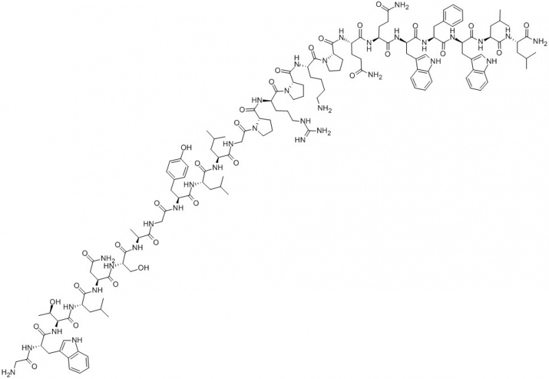
Pep12208 | Galanin (1-13)-Spantide I | 143868-20-6
- 詳細描述
- 資料下載
Pep12208 | Galanin (1-13)-Spantide I | 143868-20-6
|
貨號 |
Pep12208 |
|
名稱 |
Galanin (1-13)-Spantide I |
|
中文其他名稱 |
GLY-TRP-THR-LEU-ASN-SER-ALA-GLY-TYR-LEU-LEU-GLY-PRO-D-ARG-PRO-LYS-PRO-GLN-GLN-D-TRP-PHE-D-TRP-LEU-LEU-NH2;GLY-TRP-THR-LEU-ASN-SER-ALA-GLY-TYR-LEU-LEU-GLY-PRO-HIS-ALA-ILE-ASP-ASN-HIS-ARG-SER-PHE-SER-ASP-LYS-HIS-GLY-LEU-THR-NH2: GWTLNSAGYLLGPHAIDNHRSFSDKHGLT-NH2 |
|
英文其他名稱 |
GALANIN (1-13)-SPANTIDE AMIDE;GALANIN (1-13)-SPANTIDE I;GALANIN (1-13) - SPANTIDE-NH2;H-GLY-TRP-THR-LEU-ASN-SER-ALA-GLY-TYR-LEU-LEU-GLY-PRO-D-ARG-PRO-LYS-PRO-GLN-GLN-D-TRP-PHE-D-TRP-LEU-LEU-NH2;GWTLNSAGYLLGPRPKPQQWFWLL-NH2;GLY-TRP-THR-LEU-ASN-SER-ALA-GLY-TYR-LEU-LEU-GLY-PRO-D-ARG-PRO-LYS-PRO-GLN-GLN-D-TRP-PHE-D-TRP-LEU-LEU-NH2;C7;C8 |
|
CAS NO. |
143868-20-6 |
|
單字母序列 |
GWTLNSAGYLLGP-D-RPK PQQ-D-WF-D-WLL-NH2 |
|
三字母序列 |
Gly-Trp-Thr-Leu-Asn-Ser-Ala-Gly-Tyr-Leu-Leu-Gly-Pro-D-Arg-Pro-Lys-Pro-Gln-Gln-D-Trp-Phe-D-Trp-Leu-Leu-NH2 | H-Gly-Trp-Thr-Leu-Asn-Ser-Ala-Gly-Tyr-Leu-Leu-Gly-Pro-D-Arg-Pro-Lys-Pro-Gln-Gln-D-Trp-Phe-D-Trp-Leu-Leu-NH2 |





南京肽業(yè)生物科技有限公司
地址:
Email: info@njpeptide.com
總機:025-58361106-801
