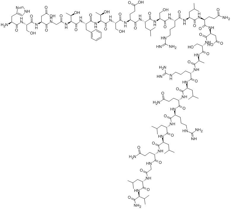
Pep04454 | Secretin (rat) | 121028-49-7
- 詳細(xì)描述
- 資料下載
Pep04454 | Secretin (rat) | 121028-49-7
|
貨號 |
Pep04454 |
|
名稱 |
Secretin (rat) |
|
中文其他名稱 |
|
|
英文其他名稱 |
HSDGTFTSELSRLQDSARLQRLLQGLV-NH2;HIS-SER-ASP-GLY-THR-PHE-THR-SER-GLU-LEU-SER-ARG-LEU-GLN-ASP-SER-ALA-ARG-LEU-GLN-ARG-LEU-LEU-GLN-GLY-LEU-VAL-NH2 RAT;H-HIS-SER-ASP-GLY-THR-PHE-THR-SER-GLU-LEU-SER-ARG-LEU-GLN-ASP-SER-ALA-ARG-LEU-GLN-ARG-LEU-LEU-GLN-GLY-LEU-VAL-NH2;SECRETIN (RAT);H-His-Ser-Asp-Gly-Thr-Phe-Thr-Ser-Glu-Leu-Ser-Arg-Leu-Gln-Asp-Ser-Ala-Arg-Leu-Gln-Arg-Leu-Leu-Gln-Gly-Leu-Val-NH2 |
|
CAS No. |
121028-49-7 |
|
單字母序列 |
HSDGTFTSELSRLQDSARLQRLLQGLV-NH2 |
|
三字母序列 |
His-Ser-Asp-Gly-Thr-Phe-Thr-Ser-Glu-Leu-Ser-Arg-Leu-Gln-Asp-Ser-Ala-Arg-Leu-Gln-Arg-Leu-Leu-Gln-Gly-Leu-Val-NH2 | H-His-Ser-Asp-Gly-Thr-Phe-Thr-Ser-Glu-Leu-Ser-Arg-Leu-Gln-Asp-Ser-Ala-Arg-Leu-Gln-Arg-Leu-Leu-Gln-Gly-Leu-Val-NH2 |





南京肽業(yè)生物科技有限公司
地址:
Email: info@njpeptide.com
總機(jī):025-58361106-801
