Pep13020 | Neuropeptide Y (13-36) (porcine) | 113662-54-7
- 詳細(xì)描述
- 資料下載
Pep13020 | Neuropeptide Y (13-36) (porcine) | 113662-54-7
|
貨號 |
Pep13020 |
|
名稱 |
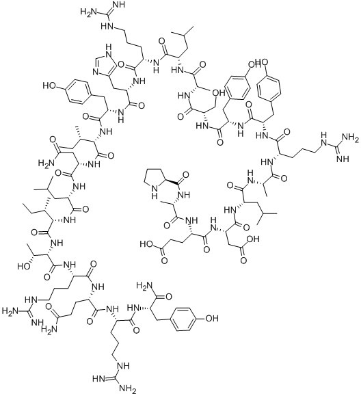
Neuropeptide Y (13-36) (porcine) |
|
中文其他名稱 |
PRO-ALA-GLU-ASP-LEU-ALA-ARG-TYR-TYR-SER-ALA-LEU-ARG-HIS-TYR-ILE-ASN-LEU-ILE-THR-ARG-GLN-ARG-TYR-NH2 |
|
英文其他名稱 |
NEUROPEPTIDE Y (13-36) (PORCINE);NEUROPEPTIDE Y FRAGMENT 13-36 PORCINE;NEUROPEPTIDE Y (PORCINE, 13-36) (BOVINE);NPY (PORCINE, 13-36)(BOVINE);NPY (13-36) (PORCINE);NPY 13-36;PRO-ALA-GLU-ASP-LEU-ALA-ARG-TYR-TYR-SER-ALA-LEU-ARG-HIS-TYR-ILE-ASN-LEU-ILE-THR-ARG-GLN-ARG-TYR-NH2;PAEDLARYYSALRHYINLITRQRY-NH2 |
|
CAS No. |
113662-54-7 |
|
單字母序列 |
PAEDLARYYSALRHYINLI TRQRY-NH2 |
|
三字母序列 |
Pro-Ala-Glu-Asp-Leu-Ala-Arg-Tyr-T yr-Ser-Ala-Leu-Arg-His-Tyr-Ile-Asn-Leu-Ile-Thr-Arg-Gln-Arg-Tyr-NH2 | H-Pro-Ala-Glu-Asp-Leu-Ala-Arg-Tyr-T yr-Ser-Ala-Leu-Arg-His-Tyr-Ile-Asn-Leu-Ile-Thr-Arg-Gln-Arg-Tyr-NH2 |





南京肽業(yè)生物科技有限公司
地址:
Email: info@njpeptide.com
總機(jī):025-58361106-801
